Debitele medii zilnice vor fi în general în creştere, exceptând primele două zile ale intervalului de prognoză, când vor fi relativ staționare.
Pe toată durata intervalului de prognoză, sunt posibile creșteri de niveluri și debite, pe unele râuri din zonele de deal și de munte, ca urmare a precipitațiilor prognozate, sub formă de aversă și propagării, pe râurile din sud-vestul şi vestul țării în primele două zile şi mai apoi, până la sfârşitul intervalului şi pe restul râurilor din celelalte regiuni.

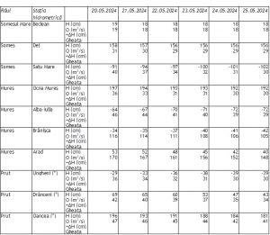
Legenda: H – nivel, Q – debit, CA- cota de atentie, CI – cota de inundatie, CP – cota de pericol, +∆H – cu cat este depasita CA sau CI,
G- gheata la mal, P – pod de gheata, Z -zapor, N-naboi, S – curg sloiuri