Prognoza medie durata rauri în intervalul 29.12.2022 ora 07.00 – 04.01.2023 ora 07.00

Debitele medii zilnice vor fi în general staționare, exceptând cursurile mijlocii și inferioare ale râurilor mari din jumătatea de vest a țării unde vor fi în scădere.

Sunt posibile creşteri de niveluri şi debite pe unele râuri mici din zonele de deal și munte, mai ales pe cele din vestul și nord – vestul țării, datorită precipitațiilor slabe prognozate, cedării apei din stratul de zăpadă şi propagării, cu probabilitate mai mare în prima parte a intervalului de prognoză.

Formațiunile de gheață (gheață la maluri, pod de gheață) existente, izolat, pe râurile din Moldova vor fi în diminuare, restrângere și eliminare.

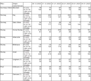
Legenda: H – nivel, Q – debit, CA- cota de atentie, CI – cota de inundatie, CP – cota de pericol, +ΔH – cu cat este depasita CA sau CI,
G- gheata la mal, P – pod de gheata, Z -zapor, N-naboi, S – curg sloiuri