În primele două zile ale intervalului, debitele medii zilnice vor fi în general staționare, exceptând râurile din Crişana şi Banat unde vor fi în creştere ca urmare a precipitațiilor lichide prognozate, cedării diurne a apei din stratul de zăpadă şi propagării.
În restul intervalului, debitele medii vor fi în general în creştere, datorită cedării apei din startul de zapadă şi propagării, exceptând râurile din estul țării care vor fi relativ staționare.
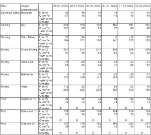
Formațiunile de gheață (gheață la maluri, pod de gheață, năboi), existente pe majoritatea râurilor din țară vor fi în restrângere, diminuare și eliminare.
