În prima parte a intervalului debitele medii zilnice vor fi în general staționare, exceptând râurile din Crişana şi Banat unde vor fi în creştere datorită precipitațiilor lichide prognozate, cedării diurne a apei din stratul de zăpadă şi propagării.
În a doua parte a intervalului debitele medii vor fi în general în creştere, datorită cedării apei din startul de zapadă şi propagării exceptând râurile din estul țării unde vor fi staționare.
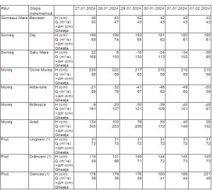
Formațiunile de gheață (gheață la maluri, năboi, sloiuri, pod de gheață), existente pe majoritatea râurilor din țară vor fi în restrângere şi diminuare.
