Debitele medii zilnice vor fi în general în scădere, exceptând râurile din bazinele hidrografice ale Siretului, Prutului și cele și Dobrogea, unde vor fi relativ staționare.
Ca urmare a propagării viiturilor formate anterior, în prima jumătate a intervalului, se vor menține peste COTELE DE ATENȚIE (în scădere) cursurile inferioare ale Turului și Crasnei (sectoare îndiguite).
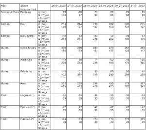
Este posibilă apariția fenomenelor de iarnă (gheață la maluri, năboi) pe unele sectoare de râuri din zonele montane din nordul și centrul țării.
În a doua parte a intervalului, sunt posibile creşteri de niveluri şi debite pe unele râuri mici din zonele de deal şi munte din nordul, centrul şi vestul țării, ca urmare a precipitațiilor lichide prognozate, cedării apei din stratul de zăpadă şi propagării.
