În primele două zile ale intervalului de prognoză, debitele medii zilnice vor fi în creștere, ca efect combinat al precipitațiilor prognozate, cedării apei din stratul de zăpadă din zonele montane înalte şi propagării, pe râurile din jumătatea de sud a țării şi in general în scădere pe cele din nordul și vestul țării și staționare pe celelalte râuri.
În partea a doua a intervalului, debitele vor fi în general în scădere.
Pe toată durata intervalului, sunt posibile creşteri de niveluri şi debite şi pe alte râuri din zonele de deal şi de munte, ca efect combinat al precipitațiilor prognozate, cedării apei din stratul de zăpadă şi propagării.
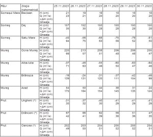
Este posibilă apariția formațiunilor de gheață incipiente (năboi, gheață la mal) pe unele râuri mici din zonele montane înalte din nordul, vestul şi centrul țării.
