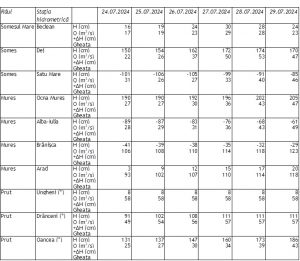
Debitele medii zilnice vor fi în creștere pe majoritatea râurilor, exceptând spre sfârșitul intervalului, râurile din vestul, nord – vestul și centrul țării unde vor fi în scădere.
Pe toată durata intervalului de prognoză sunt posibile scurgeri pe versanți, torenți, pâraie, formarea de viituri rapide și creșteri importante de niveluri și debite pe unele râuri mici din zonele de deal și munte, ca urmare a precipitațiilor prognozate, sub formă de aversă și cu caracter torențial, izolat mai însemnate cantitativ, cu probabiltate mai mare spre mijlocul intervalului, pe râurile din jumătatea de est a țării.
