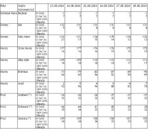
Debitele medii zilnice vor fi în general staționare.
În prima parte a intervalului de prognoză sunt posibile creșteri de niveluri și debite pe unele râuri mici din zonele de deal și de munte, cu precădere pe cele din vestul, centrul și nordul țării, datorită precipitațiilor prognozate.
