Debitele medii zilnice vor fi relativ staționare, exceptând râurile din jumătatea de vest a țării unde vor fi în creştere datorită precipitațiilor prognozate și propagării.
Sunt posibile scurgeri importante pe versanți, torenți, pâraie, cu efecte de inundații locale și creșteri semnificative de niveluri și debite pe unele râuri mici, cu probabilitate mai mare in prima parte a intrvalului pe unele râuri din Banat şi Crișana, datorită averselor torențiale, mai însemnate cantitativ, prognozate și propagării.

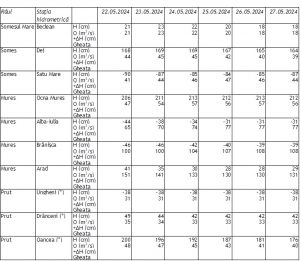
Legenda: H – nivel, Q – debit, CA- cota de atentie, CI – cota de inundatie, CP – cota de pericol, +∆H – cu cat este depasita CA sau CI,
G- gheata la mal, P – pod de gheata, Z -zapor, N-naboi, S – curg sloiuri