Debitele medii zilnice vor fi în general în scădere, exceptând râurile din sudul, sud-estul şi estul țării, unde vor fi staționare.
În a doua jumătate a intervalului de prognoză, sunt posibile mici creșteri de niveluri și debite pe unele râuri din zonele montane, ca urmare a cedării apei din stratul de zăpadă.

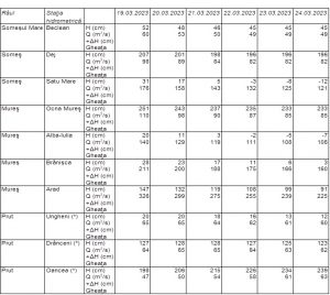
Legenda: H – nivel, Q – debit, CA- cota de atentie, CI – cota de inundatie, CP – cota de pericol, +∆H – cu cat este depasita CA sau CI,
G- gheata la mal, P – pod de gheata, Z -zapor, N-naboi, S – curg sloiuri