Debitele medii zilnice vor fi în general în scădere, exceptând râurile din jumătatea de est a țării unde vor fi staționare, iar către sfârșitul intervalului de prognoză vor fi în creștere uşoară pe râurile din nordul, centrul şi vestul țării datorită precipitațiilor lichide prognozate, cedării apei din stratul de zăpadă și propagării.
Formațiunile de gheață (gheață la maluri, năboi) existente pe râurile din zonele montane din nord – estul țării, se vor menține fără modificări importante în prima parte a intervalului, iar în partea a doua vor fi în diminuare, restrângere și eliminare.

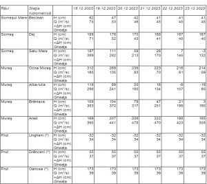
Legenda: H – nivel, Q – debit, CA- cota de atentie, CI – cota de inundatie, CP – cota de pericol, +∆H – cu cat este depasita CA sau CI,
G- gheata la mal, P – pod de gheata, Z -zapor, N-naboi, S – curg sloiuri