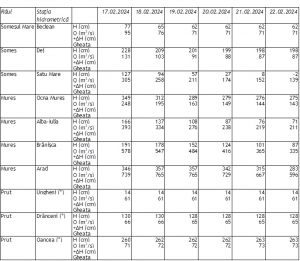
Debitele medii zilnice vor fi în general în scădere, exceptând cursurile inferioare ale râurilor mari din jumătatea de vest a țării, unde vor fi în creștere prin propagare și râurile din bazinele hidrografice: Vedea, Bârlad, afluenții Prutului și cele din Dobrogea, unde vor fi staționare.
