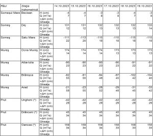
Debitele medii zilnice vor fi în general staționare.
Pe toată durata intervalului de prognoză, sunt posibile creșteri de niveluri și debite, cu o probabilitate mai mare către mijlocul intervalului, pe unele râuri mici din nordul, vestul, centru și sud – estul țării, datorită precipitațiilor prognozate și propagării.

- Home
- Despre noi
- Conducere
- Scurt istoric
- Obiective
- Domenii de Activitate
- Organigrama
- Regulament de organizare și funcționare
- Politica în domeniul calității, mediului, sănătății și securității ocupaționale
- Legislație
- Informatii de interes public conform Legii 544/2001
- Raport de activitate
- Declarație de aderare la strategia națională anticorupție
- Anunțuri angajare
- Direcţii & Produse
- Noutăți
- Proiecte
- Prognoze
- Evenimente
- Presă
- Contact

