Debitele medii zilnice vor fi relativ staționare, exceptând cursurile mijlocii și inferioare ale râurilor mari din jumătatea de vest a țării unde vor fi în scădere.
În prima zi a intervalului sunt posibile creşteri de niveluri şi debite pe unele râuri mici din zonele de deal și munte, mai ales pe cele din sud – vestul și sudul țării, ca urmare a precipitațiilor mixte prognozate, cedării apei din stratul de zăpadă și propagării.
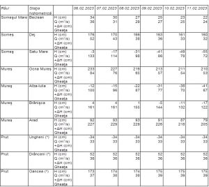
Formațiunile de gheață (gheață la maluri, năboi, pod de gheață) existente pe râurile din Moldova și estul Transilvaniei vor fi în extindere şi intensificare și își vor face apariția și pe unele sectoare de râu din nord-vestul, vestul şi centrul țării.
