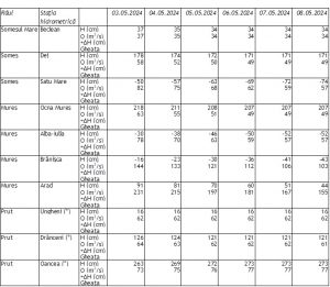
În prima parte a intervalului de prognoză, debitele medii zilnice vor fi scădere pe râurile din jumătatea de vest a țării și relativ staționare pe celelalte râuri, iar în a doua parte a intervalului, debitele vor fi în general staționare.
Sunt posibile creșteri de niveluri și debite, ca urmare a precipitațiilor prognozate, sub formă de aversă, cedării apei din stratul de zăpadă și propagării, cu probabilitate mai mare în a doua jumătate a intervalului de prognoză.

- Home
- Despre noi
- Conducere
- Scurt istoric
- Obiective
- Domenii de Activitate
- Organigrama
- Regulament de organizare și funcționare
- Politica în domeniul calității, mediului, sănătății și securității ocupaționale
- Legislație
- Informatii de interes public conform Legii 544/2001
- Raport de activitate
- Declarație de aderare la strategia națională anticorupție
- Anunțuri angajare
- Direcţii & Produse
- Noutăți
- Proiecte
- Prognoze
- Evenimente
- Presă
- Contact

