Situaţia debitelor şi nivelurilor în intervalul 09.10.2025, ora 07.00 – 10.10.2025, ora 07.00
Debitul la intrarea în ţară (secţiunea Baziaş) a fost în scădere la valoarea de 2250 m3/s, sub media multianuală a lunii octombrie (3850 m3/s).
În aval de Porţile de Fier, debitele au fost în scădere pe sectoarele Gruia – Bechet și Isaccea – Tulcea şi în creștere pe sectorul Corabia – Galați.

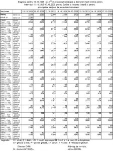
Prognoza debitelor şi nivelurilor în intervalul 10.10.2025, ora 07.00 – 17.10.2025, ora 07.00
Debitul la intrarea în ţară (secţiunea Baziaş) va fi staționar în prima zi a intervalului la valoarea de 2250 m3/s, în creștere în următoarele patru zile până la valoarea de 2800 m3/s, apoi în scădere ușoară până la valoarea de 2700 m3/s, situându-se sub media multianuală a lunii octombrie (3850 m3/s).
În aval de Porţile de Fier, debitele vor fi, în general, în creștere, exceptând prima parte a intervalului, când vor fi în scădere pe sectorul Calafat – Zimnicea și partea a doua a intervalului, când vor fi relativ staționare pe sectorul Galați – Tulcea.
