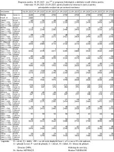
Situaţia debitelor şi nivelurilor în intervalul 17.09.2025, ora 07.00 – 18.09.2025, ora 07.00
Debitul la intrarea în ţară (secţiunea Baziaş) a fost în creștere la valoarea de 2600 m3/s, sub media multianuală a lunii septembrie (3800 m3/s).
În aval de Porţile de Fier debitele au fost în creștere pe sectoarele Gruia – Giurgiu și Călărași- Hârșova, staționare la Oltenița și în scădere pe sectorul Vadu Oii – Tulcea.

Prognoza debitelor şi nivelurilor în intervalul 18.09.2025, ora 07.00 – 25.09.2025, ora 07.00
Debitul la intrarea în ţară (secţiunea Baziaş) va fi în creștere în prima zi până la valoarea de 2700 m3/s, apoi staționar până la sfârșitul intervalului, situându-se sub media multianuală a lunii septembrie (3800 m3/s).
În aval de Porţile de Fier debitele vor fi, în general, în creștere.
