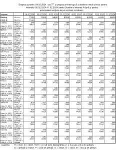
Situaţia debitelor şi nivelurilor în intervalul 03.02.2024, ora 07.00 – 04.02.2024, ora 07.00
Debitul la intrarea în ţară (secţiunea Baziaş) a fost în scădere, având valoarea de 7200 m3/s, peste media multianuală a lunii februarie (5300 m3/s).
În aval de Porţile de Fier debitele au fost în creștere la Gruia, în scădere pe sectoarele Calafat – Giurgiu și Brăila – Galați și staționare pe sectoarele Oltenița – Vadu Oii și Isaccea – Tulcea.

Prognoza debitelor şi nivelurilor în intervalul 04.02.2024, ora 07.00 – 11.02.2024, ora 07.00
Debitul la intrarea în ţară (secţiunea Baziaş) va fi în scădere pe toată durata intervalului de prognoză până la valoarea de 6000 m3/s, situându-se peste media multianuală a lunii februarie (5300 m3/s).
În aval de Porţile de Fier debitele vor fi în general în scădere.
