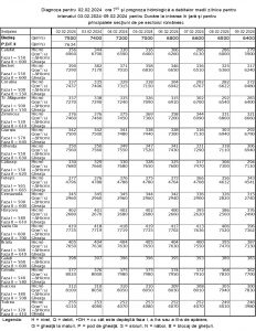
Situaţia debitelor şi nivelurilorîn intervalul 01.02.2024, ora 07.00 – 02.02.2024, ora 07.00
Debitul la intrarea în ţară (secţiunea Baziaş) a fost staționar, având valoarea de 7500 m3/s, peste media multianuală a lunii februarie (5300 m3/s).
În aval de Porţile de Fier debitele au fost în scădere pe sectoarele Gruia – Calafat, Oltenița – Călărași și Vadu Oii – Tulcea, în creștere pe sectorul Bechet – Tr. Măgurele și staționare pe sectoarele Zimnicea – Giurgiu și Cernavodă – Hârșova.

Prognoza debitelor şi nivelurilor în intervalul 02.02.2024, ora 07.00 – 09.02.2024, ora 07.00
Debitul la intrarea în ţară (secţiunea Baziaş) va fi în scădere până la valoarea de 6400 m3/s, situându-se peste media multianuală a lunii februarie (5300 m3/s).
În aval de Porţile de Fier debitele vor fi în scădere, exceptând primele zile ale intervalului când vor fi relativ staționare pe sectorul Zimnicea – Tulcea.
