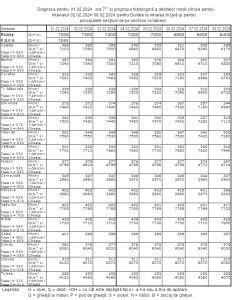
Situaţia debitelor şi nivelurilor în intervalul 31.01.2024, ora 07.00 – 01.02.2024, ora 07.00
Debitul la intrarea în ţară (secţiunea Baziaş) a fost în creștere, având valoarea de 7500 m3/s, peste media multianuală a lunii februarie (5300 m3/s).
În aval de Porţile de Fier debitele au fost în creștere pe sectoarele Gruia – Bechet și Oltenița – Călărași și în scădere pe sectorarele Corabia – Giurgiu și Cernavodă – Tulcea.

Prognoza debitelor şi nivelurilor în intervalul 01.02.2024, ora 07.00 – 08.02.2024, ora 07.00
Debitul la intrarea în ţară (secţiunea Baziaş) va fi staționar în prima zi a intervalului, apoi în scădere până la valoarea de 6400 m3/s, situându-se peste media multianuală a lunii februarie (5300 m3/s).
În aval de Porţile de Fier debitele vor fi în scădere, exceptând primele zile ale intervalului când vor fi în creștere pe sectorul Bechet – Zimnicea și relativ staționare pe sectorul Cernavodă – Tulcea și ultimele zile ale intervalului când vor fi relativ staționare pe sectorul Hârșova – Tulcea.
