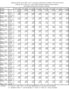
Situaţia debitelor şi nivelurilor în intervalul 23.01.2024, ora 07.00 – 24.01.2024, ora 07.00
Debitul la intrarea în ţară (secţiunea Baziaş) a fost în creștere, având valoarea de 7400 m3/s, peste media multianuală a lunii ianuarie (4950 m3/s).
În aval de Porţile de Fier debitele au fost în scădere pe sectoarele Gruia – Corabia și Zimnicea – Tulcea și în ușoară creștere la Tr. Măgurele.

Prognoza debitelor şi nivelurilor în intervalul 24.01.2024, ora 07.00 – 31.01.2024, ora 07.00
În prima parte a intervalului, debitul la intrarea în ţară (secţiunea Baziaş) va fi în creștere până la valoarea de 7700 m3/s, apoi în partea a doua a intervalului în scădere până la valoarea de 7400 m3/s, situându-se peste media multianuală a lunii ianuarie (4950 m3/s).
În aval de Porţile de Fier debitele vor fi în scădere, exceptând spre mijlocul intervalui sectorul Gruia – Bechet, unde vor fi în ușoară creștere.
