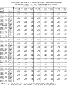
Situaţia debitelor şi nivelurilor în intervalul 06.01.2024, ora 07.00 – 07.01.2024, ora 07.00
Debitul la intrarea în ţară (secţiunea Baziaş) a fost staționar, având valoarea de 8900 m3/s, peste media multianuală a lunii ianuarie (4950 m3/s).
În aval de Porţile de Fier debitele au fost în creștere.

Prognoza debitelor şi nivelurilor în intervalul 07.01.2024, ora 07.00 – 14.01.2024, ora 07.00
Debitul la intrarea în ţară (secţiunea Baziaş) va în scădere ușoară în prima zi a intervalului de prognoză până la valoarea de 8800 m3/s, staționar în următoarele două zile în jurul acestei valori, apoi în creștere ușoară până la sfârșitul intervalului până la valoarea de 9000 m3/s, situându-se peste media multianuală a lunii ianuarie (4950 m3/s).
În aval de Porţile de Fier debitele vor fi în prima parte a intervalului de prognoză în scădere pe sectorul Gruia – Corabia și în creștere pe sectorul Tr. Măgurele – Tulcea, iar în partea a doua a intervalului vor fi creștere pe sectoarele Gruia – Calafat și Oltenița – Tulcea și în scădere pe sectorul Bechet – Giurgiu.
