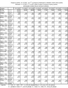
Situaţia debitelor şi nivelurilor în intervalul 09.12.2023, ora 07.00 – 10.12.2023, ora 07.00
Debitul la intrarea în ţară (secţiunea Baziaş) a fost în creștere, având valoarea de 8200 m3/s, peste media multianuală a lunii decembrie (5200 m3/s).
În aval de Porţile de Fier debitele au fost în scădere la Gruia și pe sectorul Cernavodă – Hârșova, staționare pe sectorul Calafat – Giurgiu și la Vadu Oii și în creștere pe sectoarele Oltenița – Călărași și Brăila – Tulcea.

Prognoza debitelor şi nivelurilor în intervalul 10.12.2023, ora 07.00 – 17.12.2023, ora 07.00
Debitul la intrarea în ţară (secţiunea Baziaş) va fi în scădere în primele cinci zile ale intervalului până la valoarea de 7600 m3/s, iar în ultimele două zile va fi staționar, situându-se peste media multianuală a lunii decembrie (5200 m3/s).
În aval de Porţile de Fier debitele vor fi relativ staționare, exceptând prima parte a intervalului, când vor fi în scădere ușoară pe sectorul Gruia – Bechet și în creștere ușoară pe sectorul Vadu Oii – Tulcea.
