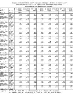
Situaţia debitelor şi nivelurilorîn intervalul 01.12.2023, ora 07.00 – 02.12.2023, ora 07.00
Debitul la intrarea în ţară (secţiunea Baziaş) a fost în scădere, având valoarea de 7700 m3/s, peste media multianuală a lunii decembrie (5200 m3/s).
În aval de Porţile de Fier debitele au fost în scădere pe sectorul Gruia – Calafat și în creștere pe sectorul Bechet – Tulcea.

Prognoza debitelor şi nivelurilor în intervalul 02.12.2023, ora 07.00 – 09.12.2023, ora 07.00
Debitul la intrarea în ţară (secţiunea Baziaş) va fi în scădere în primele două zile ale intervalului de prognoză până la valoarea de 7400 m3/s, staționar în următoarea zi, apoi în creștere până la valoarea de 8100 m3/s, situându-se peste media multianuală a lunii decembrie (5200 m3/s).
În aval de Porţile de Fier debitele vor fi în prima parte a intervalului în scădere pe sectorul Gruia – Zimnicea și în creștere pe sectorul Giurgiu – Tulcea, iar în partea a doua a intervalului vor fi în creștere pe sectorul Gruia – Corabia, în scădere pe sectorul Tr. Măgurele – vadu Oii și relativ staționare pe sectorul Brăila – Tulcea.
