Debitele medii zilnice vor fi în general relativ staționare, exceptând râurile din vestul țării, unde vor fi în scădere în primele două zile ale intervalului de prognoză.
Sunt posibile creşteri de niveluri și debite pe râurile mici din zonele de deal și de munte, ca urmare a precipitațiilor prognozate, cedării apei din stratul de zăpadă şi propagării, cu probabilitate mai mare pe cele din nordul, centrul și estul țării.

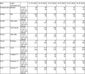
Legenda: H – nivel, Q – debit, CA- cota de atentie, CI – cota de inundatie, CP – cota de pericol, +∆H – cu cat este depasita CA sau CI,
G- gheata la mal, P – pod de gheata, Z -zapor, N-naboi, S – curg sloiuri