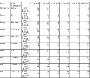
În primele două zile ale intervalului, debitele medii zilnice, vor fi în general în creștere pe râurile din jumătatea de sud a țării, datorită precipitațiilor prognozate și propagării și în scădere pe celelalte râuri.
În partea a doua a intervalului, debitele medii zilnice vor fi în scădere, exceptând râurile din bazinul Bârlad, afluenții Prutului și pe cele din Dobrogea unde vor fi staționare și unele râuri mici din zonele de deal și munte unde vor fi în ușoară creștere datorită averselor prognozate.
