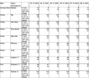
Debitele medii zilnice vor fi în general în scădere, exceptând râurile din sudul țării unde vor fi staționare, iar spre sfârșitul intervalului vor fi, în general, în creștere datorită precipitațiilor lichide prognozate, cedării apei din stratul de zăpadă și propagării.
În prima parte a intervalului, formațiunile de gheață (gheață la maluri, năboi) vor fi în extindere și intensificare pe râurile aferente zonelor montane din centrul și nord – estul țării, urmând ca în partea a doua a intervalului să se mențină fără modificări importante.
