În prima parte a intervalului de prognoză, debitele medii zilnice vor fi în creștere începând cu râurile din vestul țării, ca urmare a precipitațiilor lichide prevăzute, cedării apei din stratul de zăpadă și propagării, exceptând râurile din estul și sudul țării, unde vor fi în general staționare.
În partea a doua a intervalului, debitele medii vor fi în general în creștere ca urmare a precipitațiilor prognozate, cedării apei din zăpadă și propagării.
Sunt posibile scurgeri importante pe versanţi, torenţi şi pâraie, viituri rapide pe râurile mici cu posibile efecte de inundaţii locale şi creşteri de debite şi niveluri cu posibile depăşiri ale COTELOR DE APĂRARE pe unele râuri din vestul ţării, datorită precipitațiilor lichide, mai însemnate cantitativ, prognozate, cedării apei din stratul de zăpadă și propagării.
Se menține în vigoare AVERTIZAREA HIDROLOGICĂ nr. 28 din 31.03.2023 până ȋn data de 03.04.2023 ora 12:00.

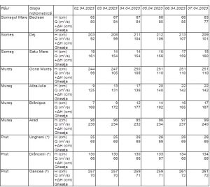
Legenda: H – nivel, Q – debit, CA- cota de atentie, CI – cota de inundatie, CP – cota de pericol, +∆H – cu cat este depasita CA sau CI,
G- gheata la mal, P – pod de gheata, Z -zapor, N-naboi, S – curg sloiuri