Diagnoza şi prognoza hidrologică pentru Dunăre la intrarea în ţară şi pe sectorul romanesc – 2024.08.28

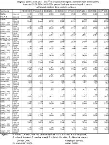
Situaţia debitelor şi nivelurilor în intervalul 27.08.2024, ora 070.00– 28.08.2024, ora 07.00

Debitul la intrarea în ţară (secţiunea Baziaş) a fost în creștere, având valoarea de 3100 m3/s, sub media multianuală a lunii august (4300 m3/s).
În aval de Porţile de Fier debitele au fost în creștere pe sectoarele Gruia – Oltenița și Isaccea– Tulcea, staționare la Călărași și Galați și în scădere pe sectorul Cernavodă – Brăila.

Prognoza debitelor şi nivelurilor în intervalul 28.08.2024, ora 07.00 – 04.09.2024, ora 07.00

Debitul la intrarea în ţară (secţiunea Baziaş) va fi în scădere până la valoarea de 2400 m3/s, situându-se sub mediile multianuale ale lunilor august (4300 m3/s) și septembrie (3800 m3/s).
În aval de Porţile de Fier debitele vor fi în prima parte a intervalului în scădere pe sectorul Gruia – Calafat și în creștere pe sectorul Bechet – Tulcea, iar în partea a doua a intervalului vor fi în scădere pe sectoru Gruia – Vadu Oii și relativ staționare pe sectorul Brăila – Tulcea.