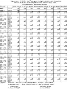
Situaţia debitelor şi nivelurilor în intervalul 24.08.2024, ora 07.00 – 25.08.2024, ora 07.00
Debitul la intrarea în ţară (secţiunea Baziaş) a fost în creștere, având valoarea de 2700 m3/s, sub media multianuală a lunii august (4300 m3/s).
În aval de Porţile de Fier debitele au fost în creștere pe sectorul Gruia – Calafat și în scădere pe sectorul Bechet – Tulcea.

Prognoza debitelor şi nivelurilor în intervalul 25.08.2024, ora 07.00 – 01.09.2024, ora 07.00
Debitul la intrarea în ţară (secţiunea Baziaş) va fi în creștere în primele patru zile ale intervalului de prognoză până la valoarea de 3100 m3/s, apoi în scădere până la valoarea de 2600 m3/s, situându-se sub mediile multianuale ale lunilor august (4300 m3/s) și septembrie (3800 m3/s).
În aval de Porţile de Fier debitele vor fi în prima parte a intervalului de prognoză în creștere pe sectorul Gruia – Giurgiu și în scădere pe sectorul Oltenița – Tulcea, iar în partea a doua a intervalului vor fi în scădere pe sectorul Gruia – Tr. Măgurele și în creștere pe sectorul Zimnicea – Tulcea.
