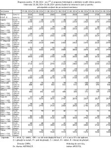
Situaţia debitelor şi nivelurilor în intervalul 18.08.2024, ora 07.00 – 19.08.2024, ora 07.00
Debitul la intrarea în ţară (secţiunea Baziaş) a fost staționar, având valoarea de 2550 m3/s, sub media multianuală a lunii august (4300 m3/s).
În aval de Porţile de Fier debitele au fost în scădere pe sectoarele Gruia – Călărași și Isaccea – Tulcea și în creștere pe sectorul Cernavodă – Galați.

Prognoza debitelor şi nivelurilor în intervalul 19.08.2024, ora 07.00 – 26.08.2024, ora 07.00
Debitul la intrarea în ţară (secţiunea Baziaş) va fi în scădere în prima zi a intervalului de prognoză până la valoarea de 2500 m3/s, staționar în următoarele trei zile, apoi în creștere până la valoarea de 2800 m3/s, situându-se sub media multianuală a lunii august (4300 m3/s).
În aval de Porţile de Fier debitele vor fi în general în scădere, exceptând partea a doua a intervalului când vor fi în creștere pe sectorul Gruia – Oltenița.
