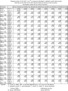
Situaţia debitelor şi nivelurilor în intervalul 24.02.2024, ora 07.00 – 25.02.2024, ora 07.00
Debitul la intrarea în ţară (secţiunea Baziaş) a fost în scădere, având valoarea de 6700 m3/s, peste media multianuală a lunii februarie (5300 m3/s).
În aval de Porţile de Fier debitele au fost în scădere pe sectorul Gruia – Vadu Oii și în creștere pe sectorul Brăila – Tulcea.

Prognoza debitelor şi nivelurilor în intervalul 25.02.2024, ora 07.00 – 03.03.2024, ora 07.00
Debitul la intrarea în ţară (secţiunea Baziaş) va fi în scădere în primele două zile ale intervalului de prognoză până la valoarea de 6500 m3/s, staționar în următoarea zi în jurul acestei valori, apoi în creștere până la valoarea de 6900 m3/s, situându-se peste mediile multianuale ale lunilor februarie (5300 m3/s) și martie (6700 m3/s).
În aval de Porţile de Fier debitele vor fi în scădere, exceptând în partea a doua a intervalului sectorul Gruia – Tr. Măgurele, unde vor fi în creștere.
