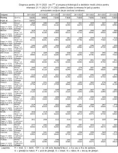
Situaţia debitelor şi nivelurilor în intervalul 19.11.2023, ora 07.00 – 20.11.2023, ora 07.00
Debitul la intrarea în ţară (secţiunea Baziaş) a fost în creştere, având valoarea de 6400 m3/s, peste media multianuală a lunii noiembrie (4650 m3/s).
În aval de Porţile de Fier debitele au fost în scӑdere la Gruia şi pe sectorul Isaccea – Tulcea, ȋn creştere pe sectoarele: Calafat – Zimnicea şi Olteniţa – Galaţi şi staţionare la Giurgiu.

Prognoza debitelor şi nivelurilor în intervalul 20.11.2023, ora 07.00 – 27.11.2023, ora 07.00
Debitul la intrarea în ţară (secţiunea Baziaş) va fi în creștere în primele patru zile ale intervalului de prognoză până la valoarea de 7400 m3/s, apoi relativ staţionar, situându-se peste media multianuală a lunii noiembrie (4650 m3/s).
În aval de Porţile de Fier, debitele vor fi în creștere, exceptând ultimele două zile ale intervalului, când vor fi relativ staţionare pe sectorul Gruia – Calafat.
